2014最新完美獎金制度
發布: 2014-01-02 16:50:18 作者: 佚名 來源: 中國直銷網

一.優惠顧客
優惠比例0%——18%
1.如何成為優惠顧客(VIP顧客)
首次購買下列任意一套產品,加20元工本費,附身份證復印件填寫“VIP顧客申請表”即可以成為優惠顧客。
(1)金偉連凈水機一臺 7880元 6304PV
(2)吉福參牌人參滴丸一盒 913元 730PV
(3)完美健康食品禮盒(免費獲得活立多健腸口服液一盒) 840元 714PV
(4)蘆薈王漿礦物粉、高纖樂、罐營養餐 572元 487PV
(5)瑪麗艷敏感修護套裝 488元 417PV
(6)瑪麗艷滋潤套裝 488元 417PV
(7)瑪麗艷清爽套裝 488元 417PV
2.成為優惠顧客的好處
(1)可獲得完美公司優質的上述任意一套產品
(2)可獲得完美公司KIT一套,內含〈公司簡介〉、〈產品簡介〉、〈瑪麗艷產品說明書〉各一本(合訂本推出后由一本代替)
(3)可獲得完美公司贈送的其他產品一件或幾件,仍可享受原有新增顧客享受的優惠服務內容及參加公司的各類優惠活動
(4)可獲得完美公司購買的一份保期為一年、最高保額4萬元的人身意外保險,保險期限從成功領取VIP卡后次月開始生效
(5)可獲得完美VIP卡一張。
3.擁有VIP卡的好處
(1)即日起成為完美公司最尊貴的優惠顧客,每12個月當中只要有一個月消費完美公司產品達200PV(1PV=1.17元)以上,此卡就繼續有效;
(2)用VIP卡消費完美公司的任何產品都會有一個相應的積分累積在您的卡上,而且月月積累、年年積累、永不歸零,卡上的積分越高,使用完美公司產品也就越來越便宜
(3)在全國任何地方的完美專賣店或公司授權的服務中心購買完美公司的任何產品,也均有相同積分和相同的優惠
(4)通過你轉介紹的所有普通顧客和優惠顧客消費完美公司的任何產品,也都會有相應的積分累積在您的卡上(此積分只作升直銷員用,不作優惠積分用)
(5)擁有VIP卡,可在全國范圍內開展完美事業
4.優惠顧客可獲得的優惠如下
自辦理完美VIP貴賓優惠卡次月起可連續獲得3個月的最低優惠。
每月優惠低至7.8折,累計高達315元。
(1)第一個月可以以360元的最低優惠價購買營養配方油2罐,積分290PV
(2)第二個月可以以373元的最低優惠價購買玉米肽糙米胚芽壓片糖果1瓶、活立多牌一生糖1瓶,積分315PV
(3)第三個月可以以375元的最低優惠價購買完美營養餐2罐、完美高纖餐1盒,積分320PV

二.直銷員
獎金比例23%——30%
1.由于你所消費的產品和你轉介紹的所有顧客消費的產品都有一個相應的積分累積在您的卡上,而且月月積累、年年積累、永不歸零,所以你的總積分很快就會積累到36000PV。
(1)當你的總積分達到了36000PV,你和你所介紹的顧客當月所消費所有產品的積分達到15000PV:
例一、你在3月31日之前的總積分已經累計達到了21000PV,4月份當月之內你和你介紹的所有優惠顧客消費積分達到了15000PV以上
例二、你在3月31你之前的總積分已經累計達到了36000PV,在以后任何一個月只要你和你介紹的所有顧客的消費積分達到了15000PV以上
(2)當具備了上面例一、例二其中一條時,你就成為了完美公司的直銷員,直銷員的獎金比例為:

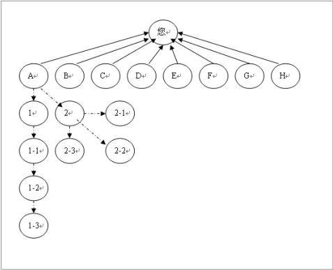
(3)圖例:

注:實線表示你的直接顧客,虛線表示直接顧客轉介紹的顧客,即:
A、B、C、D、E、F、G、H都是你直接介紹的顧客
1、1-1、1-2、1-3和2、2-1、2-2、2-3都是A轉介紹的顧客
2.在你成為直銷員的第二個月開始,直到你成為完美公司的客戶經理之前,你和你所有顧客當月消費或零售完美產品的積分決定了你的獎金,有三種情況:
(1)你和你所有顧客當月的實際積分是在200——6000PV之間,你的獎金是23%與所有顧客享受的優惠所產生的百分比之差乘以顧客當月的實際消費積分,所得的數字就是你當月的獎金。舉例:

以此類推,最后的總和就是你當月的獎金,前提是你當月自己必須完美200PV或以上。
(2)你和你所有的顧客當月實際積分在6001—11999之間,你的獎金是26%與所有顧客可享受的優惠所產生的百分比之差乘以顧客當月實際積分,所得的數字就是你當月的獎金,算法與上表相同。
(3)你和你所有的顧客當月實際積分在15000以上,你的獎金是30%與所有顧客可享受的優惠所產生的百分比之差乘以顧客當月實際積分,所得的數字就是你當月的獎金,算法與上表相同。另外還可以得到公司額外獎勵的現金400元。
3.通過累積你可以成為直銷員,同理A和其他顧客也一樣可以通過累積成為直銷員。
4.假設當A也成為直銷員后,那么公司就會把A轉介紹的所有顧客(1、1-1、1-2、1-3和2、2-1、2-2、2-3)脫離出你的顧客群,轉歸A的顧客群并由A直接進行管理和服務,所有的差額獎金也同時歸A所有,從此你不在享有這一顧客群的差額獎金。
三.初級經理
獎金比例為:9%+2%+200元獎金
當你培養出1—2個直銷員后,你就榮升為完美公司的客戶經理:
1.假設A成為合格的直銷員后,你的顧客群(也就是B、C、D、、F、G、H、以及他們介紹的所有顧客和你本人在內,統稱為個人小組)在A成為直銷員的當月,如能消費到6001PV以上的總成績,你就是完美公司的客戶經理,你的獎金如下:
(1)你能拿到A直銷員(小組,下同)當月消費總PV的9%和A所培養出來第一代(你的第二代)直銷員當月消費總PV的2%直至平級客戶經理的第二代
(2)你能拿到30%與個人小組所有優惠顧客所享受的優惠差額
(3)你還能拿到公司額外獎勵的現金300元

2.假設A、B都成為了合格的直銷員,你也是完美公司的客戶經理,你的獎金如下:
(1)你能拿到A、B直銷員所帶領的顧客群當月消費總PV的9%和A、B所培養出來第一代(你的第二代)直銷員小組當月消費總PV的2%直至平級客戶經理的第二代
(2)你能拿到30%與個人小組所有優惠顧客所享受的優惠差額
(3)你還能拿到公司額外獎勵的現金200元

3.客戶經理的月收入基本在:3000—10000元之間,還有公司給你的意外人身保險10萬遠,會邀請你去公司總部參觀,走走紅地毯,住5星級金鉆酒店,公司還有可能會邀請你國內免費到珠海、澳門旅游。
四.中級經理
獎金比例為:9%+(2%+〈6%〉)+專賣店(〈2%—6%〉+1%)
當你培養出3—4個直銷員時,你就是完美公司的大客戶經理
1.當你培養出3個合格直銷員時,如你當月個人小組消費業績達到12000PV,你就是完美公司大客戶經理
2.當你培養出4個合格直銷員時,你也是完美公司大客戶經理
3.大客戶經理的獎金如下:
(1)直接直銷員當月總業績的9%
(2)第二代直銷員當月總業績的2%+6%
(3)第三代直銷員當月總業績的6%直至平級的下一代,如無平級,可拿無限代
(4)你能拿到30%與個人小組所有優惠顧客所享受的優惠差額
4.當你連續兩個月成為公司大客戶經理后,你就可以向公司申請開專賣店
(1)如果你專賣店開在二樓,你可拿到當月專賣店銷售總額的2%,如果你的專賣店開在一樓,你可拿到專賣店當月銷售額的6%
(2)你除了自己可以開專賣店外,還可以擔保也已成為大客戶經理的你的直銷員開專賣店,你可拿到第一代大客戶經理專賣店當月銷售額的0。5%,你可以拿到第二代大客戶經理專賣店當月銷售額的0。5%
(3)大客戶經理的月基本收入在5000—30000元之間,公司會邀請你去國外旅游。
五.高級經理
獎金比例為:9%+(2%+〈6%+3%〉)
當你培養出5—6個合格直銷員時,你就是完美公司的鉆石經理
1.當你培養出5個合格的直銷員時,如當月你的個人小組消費業績達到12001PV,你就是完美公司的鉆石經理
2.當你培養出6個合格的直銷員時,你也是完美公司的鉆石經理
3.鉆石經理的獎金如下
(1)直接直銷員當月總業績的9%
(2)第二代直銷員當月總業績的2%+6%+3%
(3)第三代直銷員當月總業績的6%+3%直至平級的下一代,如無平級可拿無限代
(4)你能拿到30%與個人小組所有優惠顧客所享受的優惠差額
4.鉆石經理的月收入基本在:10000—50000元之間
六.金鉆石經理
獎金比例為:9%+(2%+〈6%+3%+1%〉)
當你培養出7—8個直銷員時,你就是完美公司的金鉆石經理
1.當你培養出7個合格的直銷員時,當月如你的個人小組消費業績達到12001PV,你就是完美公司的金鉆石經理
2.當你培養出8個合格的直銷員時,你也是完美公司的金鉆石經理
3.金鉆石經理的獎金如下:
(3)直接直銷員當月總業績的9%
(3)第二代直銷員當月總業績的2%+6%+3%+1%
(3)第三代直銷員當月總業績的6%+3%+1%
(3)你能拿到30%與個人小組所有優惠顧客所享受的優惠差額
4.金鉆石經理的月收入基本在:50000元以上,永不封頂
七.金鉆平級獎
獎金比例為:2%
1.可拿第一代金鉆石經理當月總業績的1%
2.可拿第二代金鉆石經理當月總業績的0。5%
3.可拿第三代金鉆石經理當月總業績的0。25%
4.可拿第四代金鉆石經理當月總業績的0。25%
5.該平級獎可讓你成為富翁。
八.雙金鉆平級獎
獎金比例為:1%
1.可拿第一代雙金鉆石經理當月總業績的0。25%
2.可拿第二代雙金鉆石經理當月總業績的0。25%
3.可拿第三代雙金鉆石經理當月總業績的0。25%
4.可拿第四代雙金鉆石經理當月總業績的0。25%
5.該平級獎可讓你成為富豪。
九.旅游獎
連續5個月合格初級理:三天二夜公司免費培訓
連續6個月合格中級理:七天六夜野外拓展培訓
在一年中有9個月合格高級經理:國外旅游
在一年中有9個月合格的金鉆石經理:國外旅游
十.特別獎
雙金鉆獎勵:合格金鉆石經理條件下,七個以上手下,其中每個手下的網絡中都出現金鉆石經理者。
(1)一次性獎勵50萬,要求買寶馬車;
(2)獲得價值12萬的勞力士金表(夫妻一對,單身一塊);
(3)1年12個晚上金鉆酒店免費享受(在公司本部的廣東中山);
(4)公司通知的所有活動免費;
(5)國外夫妻旅游
上一篇:首家拿底薪的直銷公司正式起航! 下一篇: 消費者購買直銷生前契約要重視自身法律保障
今日新聞頭條
我也說兩句
已有評論 0 條 查看全部回復
yhkj8888 2017-12-01 16:20:24 來自 IP:182.119.230.* 專業直銷軟件開發;雙軌、三級分銷系統、三三復制系統、全球分紅系統、太陽線、拆分盤系統、會員管理系統、消費全返系統、微商城、多店鋪商城等。專業的團隊,多年的開發經驗,完善的售后服務!QQ(微信):865050050
a444391359 2016-05-31 09:26:40 來自 IP:106.226.90.* 大數據時代,旅游年!中美旅游年!所有新時代的敏感詞匯無不體現出,趨勢的到來!
在如今產能嚴重過剩的時期,該如何尋求經濟發展?這是中國政府的事情,更是國民經濟的重要發展方向!
旅游是大家都喜歡、也最不能得到滿足的東西!我們都渴望玩的好、吃的好、住的好、玩的開心、高興!這是我們最渴求的,當然在傳統旅游泛濫的今天,只有新型模式的旅游才能改變人們對旅游的不良看法!那么今天我就給大家推薦一個旅游項目,同時也是很好的創業平臺!——新視界旅游!~帶給我們低價、高品質的旅游同時還給了我們創業的機會!親,如果想了解更多,請:15179330660
a444391359 2016-05-31 09:26:31 來自 IP:106.226.90.* 大數據時代,旅游年!中美旅游年!所有新時代的敏感詞匯無不體現出,趨勢的到來!
在如今產能嚴重過剩的時期,該如何尋求經濟發展?這是中國政府的事情,更是國民經濟的重要發展方向!
旅游是大家都喜歡、也最不能得到滿足的東西!我們都渴望玩的好、吃的好、住的好、玩的開心、高興!這是我們最渴求的,當然在傳統旅游泛濫的今天,只有新型模式的旅游才能改變人們對旅游的不良看法!那么今天我就給大家推薦一個旅游項目,同時也是很好的創業平臺!——新視界旅游!~帶給我們低價、高品質的旅游同時還給了我們創業的機會!親,如果想了解更多,請:15179330660
gxmx 2016-01-04 16:20:01 來自 IP:171.37.255.* 南寧明訊科技公司
承接網站建設與會員管理系統開發。
研發內容有一線公排網,雙軌、三軌、矩陣、級差、裂變、基金、返利、太陽線、五級三晉、愛心互助、創想未來、3M等.
企業、行業、商城等網站建設.軟件采用PHP+MYSQL開發。速度快,安全性高,系統更穩定。
有需要請聯系:
業務QQ:2499092817
聯系電話:18577813060小李
公司電話:0771-3130440
公司網址:www.gxmingxun.com
gxmx 2016-01-04 16:18:56 來自 IP:171.37.255.* 南寧明訊科技公司
承接網站建設與會員管理系統開發。
研發內容有一線公排網,雙軌、三軌、矩陣、級差、裂變、基金、返利、太陽線、五級三晉、愛心互助、創想未來、3M等.
企業、行業、商城等網站建設.軟件采用PHP+MYSQL開發。速度快,安全性高,系統更穩定。
有需要請聯系:
業務QQ:2499092817
聯系電話:18577813060小李
公司電話:0771-3130440
公司網址:www.gxmingxun.com
gxmx 2015-12-16 11:44:11 來自 IP:171.37.255.* 您好!本公司專業開發各類直銷軟件(雙軌、三軌、矩陣、級差、基金、太陽線、愛心互助、MMM等;包括企業網站,各類多功能網站等等)
技術成熟,專業服務,安全穩定的系統助您生意更興隆!
歡迎咨詢:
業務QQ:2499092817
聯系電話:18577813060小李
公司電話:0771-3130440
公司網址:www.gxmingxun.com
gxmx 2015-12-09 10:36:26 來自 IP:171.36.52.* 南寧明訊科技公司
承接網站建設與會員管理系統開發。
研發內容有一線公排網,雙軌、三軌、矩陣、級差、裂變、基金、返利、太陽線、五級三晉、愛心互助、創想未來、3M等.
企業、行業、商城等網站建設.軟件采用PHP+MYSQL開發。速度快,安全性高,系統更穩定。
有需要請聯系:
業務QQ:2499092817
聯系電話:18577813060
公司電話:0771-3130440
公司網址:www.gxmingxun.com
祝您事業有成,綻放生命色彩!
gxmx 2015-12-09 10:11:02 來自 IP:171.36.52.* 廣西明訊科技專業定制直銷系統,如果您想把直銷做得更專業、更穩定、一款直銷系統是必須的。請電18577763533 Q: 2499092817










